Діагностична (контрольна) робота ДР-7 Варіант 3
(Сторінка 66)
- Запиши число п’ять дев’ятих у вигляді дробу.
А. 5/19
Б. 19/5
В. 5/9✅
Г. 9/5
-
Укажи дріб, який менший від дробу 4/11.
А. 5/11
Б. 3/11✅
В. 6/11
Г. 8/11
- З дробів 6/6; 3/11; 7/1; 2/9; 5/4; 1/3 вибери всі неправильні.
А. 6/6; 7/1; 5/4✅
Б. 7/1; 5/4
В. 3/11; 2/9; 1/3
Г. 6/6; 3/11; 7/1; 2/9; 1/3
- Подай неправильний дріб 25/7 у вигляді мішаного числа.
А. 4 1/7
Б. 4 3/7
В. 3 6/7
Г. 3 4/7✅
- У класі навчається 30 учнів. 9/10 з них взяли участь у математичному конкурсі «Кенгуру». Скільки учнів класу стали учасниками «Кенгуру»?
30 · 9 : 10 = 27 (уч.) – стали учасниками «Кенгуру»
Відповідь: 27 учнів.
- Обчисли:

- У 5-А класі німецьку мову вивчають 10 учнів, що складає 2/5 від кількості учнів класу. Скільки учнів у 5-А класі?
10 : 2 · 5 = 25 (уч.) – у 5-А класі.
Відповідь: 25 учнів.
-
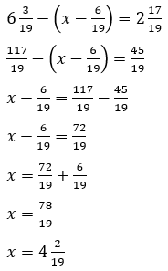
Розв’яжи рівняння:

-
При яких натуральних значеннях х дроби х/5 і 9/(х+3) обидва неправильні?
х/5 неправильний за умови: х ≥ 5. Тоді як 9/(х+3) неправильний за умови:
9 ≥ х + 3
3 + 6 ≥ х + 3
6 ≥ х
Спільна умова: 5 ≤ х ≤ 6
Відповідь: при 5 ≤ х ≤ 6.
