Домашня самостійна робота №7
(Сторінка 214)
- Запиши у вигляді дробу частку 5 : 13.
Відповідь: ![]()
-
Яка з нерівностей правильна?
Відповідь: ![]()
- Який із запропонованих дробів є правильним?
Відповідь: ![]()
-
Автобус має проїхати 80 км. За першу годину від подолав 9/16 цієї відстані. Скільки кілометрів проїхав автобус за першу годину?
(км) – проїхав автобус за першу годину.
Відповідь: 45 км.
-
Виділи цілу і дробову частини з неправильного дробу 37/7.
Відповідь: ![]()
-
Знайди значення виразу
![]()
Відповідь: 8/23.
- Першого дня магазин продав 40 кг цукерок, що становить 2/5 завезених цукерок до магазину. Скільки кілограмів цукерок залишилося у магазині?
Нехай загальна кількість цукерок, яку завезли до магазину – x, тоді:
х = 100 (кг) – загальна кількість цукерок, яку завезли до магазину.
100 – 40 = 60 (кг) – залишилося.
Відповідь: 60 кг.
- Вирази 7 кг 13 г у кілограмах.
Відповідь: ![]()
-
Розв’яжи рівняння

- Розв’яжи рівняння

21 = 7 (х – 3)
3 = х – 3
– х = – 3 – 3
– х = – 6
х = 6
Відповідь: 6.
-
Скільки існує натуральних чисел n таких, що дроби
одночасно є неправильними?
Відповідь: 4.
-
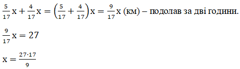
Велосипедист за першу годину подолав 5/17 усього шляху, а за другу – 4/17 усього шляху. Відомо, що за дві години велосипедист подолав 27 км. Скільки кілометрів становить увесь шлях велосипедиста?
Нехай увесь шлях велосипедиста – х км, тоді за першу годину велосипедист подолав (5/17)x кілометрів, і за другу годину подолав (4/17)x кілометрів, отже:
х = 51 (км) – увесь шлях велосипедиста.
Відповідь: 51 км.
