Річна діагностична робота ДР-11 Варіант 4
(Сторінка 95)
- Який із дробів більший за дріб 17/21?
А. 15/21
Б. 10/21
В. 17/21
Г. 19/21✅
-
Знайди периметр прямокутника, сторони якого дорівнюють 5,2 см і 6 см.
Р = (5,2 + 6) · 2 = 11,2 · 2 = 22,4
А. 22,4 см✅
Б. 31 см
В. 31,2 см
Г. 11,2 см
- Запиши у вигляді десяткового дробу число 3 7/100.
А. 3,7
Б. 3,07✅
В. 7,03
Г. 7,3
- Знайди корінь рівняння 19,74 : х = 2,8.

А. 6,5
Б. 7,5
В. 7,05✅
Г. 6,05
- Побудуй кут, градусна міра якого 160°.

-
Довжина доріжки в парку – 210 м, а 7/10 її довжини заасфальтовано. Яка довжина заасфальтованої частини?
210 · 0,7 = 147 (м) – довжина заасфальтованої частини.
Відповідь: 147 м.
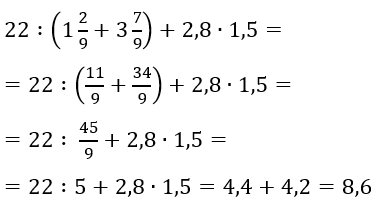
- Обчисли значення виразу

-
З однієї точки у протилежних напрямках одночасно почали повзти два равлика. Швидкість одного з них 12,4 м/хв, а другого – на 0,7 м/хв більша. Через скільки хвилин відстань між ними буде 31,5 м?
1) 12,4 + 0,7 = 13,1 (м/хв) – швидкість другого.
2) 12,4 + 13,1 = 25,5 (м/хв) – швидкість віддалення.
3) 31,5 : 25,5 = 1,235 (хв.)
Відповідь: через 1,235 хв.
-
Знайди найбільше чотирицифрове число, кратне числу 57.
Найбільше чотирицифрове число – це 9999.
1) 9999 : 57 = 175 (ост. 24)
2) 175 · 57 = 9975

Відповідь: 9975.
