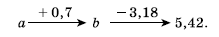
§ 43. Додавання і віднімання десяткових дробів № 1386 - 1457 Завдання № 1443 Завдання: Знайди числа a і b у ланцюжку обчислень. Розв'язок: 1) b = 5,42 + 3,18 = 8,6; 2) а = 8,6 – 0,7 = 7,9 Завдання № 1442 Завдання № 1442 Завдання № 1444 Завдання № 1444