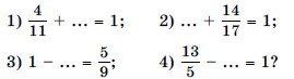
§ 39. Додавання і віднімання мішаних чисел № 1248 - 1279 Завдання № 1262 Завдання: Якими дробами або мішаними числами треба заповнити пропуски, щоб утворилася правильна рівність: Розв'язок: Завдання № 1261 Завдання № 1261 Завдання № 1263 Завдання № 1263