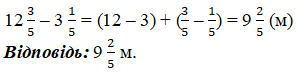
§ 39. Додавання і віднімання мішаних чисел № 1248 - 1279 Завдання № 1251 Завдання: Довжина білої стрічки 12 3/5 м, а зеленої — на 3 1/5 м коротша. Яка довжина зеленої стрічки? Розв'язок: Завдання № 1250 Завдання № 1250 Завдання № 1252 Завдання № 1252